Nieuws:

NB! Als u lid wilt worden stuur dan een verzoek naar:

EnschedeRamp@gmail.com

Hoofdmenu

Herzieningsverzoek Rudi Bakker

Gestart door sylvius, 12 februari 2012, 17:42:01

Vorige topic - Volgende topic

sylvius

#15
Het lijkt dus net zo'n domme actie als die van ruim een jaar geleden met hun beschuldiging van het verdonkeremanen van een proces-verbaal:

https://enschederamp.nl/forum/index.php?topic=300.0

Het wachten is op Jan Calis met net zo'n gedegen analyse als toen:

https://enschederamp.nl/forum/index.php?topic=303.0

sylvius

En waar blijft Rob Vorkink?

https://twitter.com/RobVor

Zouden P&D er niet achter staan?

admin

Tot dusver hebben Bakker en zijn advocaten al hun rechtszaken en beroepszaken verprutst, dat zal nu ook wel weer gebeuren verwacht ik. Onze landsadvocaten zullen de hoge raad er nogmaals op wijzen dat de ramp in de doofpot moet en de hoge raad zal gehoorsamen anders volgt voor die raadsleden ontslag en/of degradatie, want zo werkt onze overheid je moet meedoen met de corruptie en dan kun je veel geld verdienen. En net als bij de Mafia moet je als ambtenaar zwijgen dan komt het allemaal goed.

admin

#18
Citaat van: sylvius op 13 februari 2012, 17:38:34Het wachten is op Jan Calis met net zo'n gedegen analyse als toen:

https://enschederamp.nl/forum/index.php?topic=303.0

Jan Calis heeft al die jaren de schuld van de ramp aan Andre de V. gegeven, dus die Jan zijn wereld is ingestort hij zal nu eindelijk ook wel beseffen dat hij tien jaar lang een onschuldige heeft gedemoniseerd. Jan Calis was voor mij altijd de spreekbuis van het O.M. en justitie, het wachten is nu op zijn gedegen analyse waarin hij ons wijs gaat maken dat de meer dan 80.000 taps zijn vernietigd in het belang van de slachtoffers net als de duizend bsve dossiers. Jan calis moet dat nog in de juiste vorm gieten met wat hulp van de politie Enschede zoals we van hem gewend zijn.

admin

#19
Citaat van: admin op 14 februari 2012, 02:16:28
Jan Calis was voor mij altijd de spreekbuis van het O.M. ......

Het O.M. in Almelo had op het herzieningsverzoek als commentaar: ''Geen commentaar'' dat zal ook wel de reden zijn van Calis zijn gezwijg want nadat hij zoveel heeft gelogen kan als verlengstuk van vrouwe justitia Twente beter zwijgen. Wat de tubantia nodig heeft is een nieuwe Jan Calis die ons voorliegt in naam van alle slachtoffers en nabestaanden zoals hij altijd deed.

Dit laatste gedoe van Bakker bederft al twee dagen mijn eetlust en nachtrust.
Ik geef Bakker geen ongelijk want het was niet zijn  munitie maar de munitie van defensie die daar gedetoneerd is in de SEF winkel.
De overheid heeft zelf doodslag op haar geweten met hun munitie bij SEF, maar dat mag nooit bekend worden want dan gaan er veel hoge koppen rollen daar heeft de overheid geen belang bij, en dan gaat het de overheid nog veel geld kosten aan schadevergoedingen en daar heeft niemand belang bij dat geld stoppen de ambtenaren en hun cornuiten liever in eigen zak.
Sinds de ramp ben ik verschrikkelijk kwaad op alle ambtenaren omdat ze nog net zo volgzaam zijn als in 40/45 en alles doen wat hun opgedragen wordt, als burger delf je altijd het onderspit tegen 1 miljoen ambtenaren die eten en feesten ten koste van mensenlevens en daar komen ze mee weg want ze hebben geen oordeel zijn niet verantwoordelijk laat staan aansprakelijk.


sylvius

 
Citaat van: adminde meer dan 80.000 taps zijn vernietigd

Ze zijn niet vernietigd, alleen de opdracht daartoe was gegeven door de officier van justitie, maar de beheerder van de tapkamer weigerde de opdracht uit te voeren.

http://nos.nl/artikel/340235-herzieningsverzoek-vuurwerkramp.html



Citeer
Het BIZ-onderzoek (.pdf) bracht aan het licht dat de Almelose zaaksofficier van justitie in 2001 opdracht gaf om 20 cd-roms met daarop 80.000 afgeluisterde gesprekken te vernietigen.(...)
De beheerder van de tapkamer waar de cd-roms bewaard werden, weigerde de opdracht uit te voeren, ook nadat hij schriftelijk gesommeerd werd om de discs te vernietigen (...)
Uiteindelijk werd de doos met cd-roms opgehaald en naar de officier van justitie gebracht. Een paar weken later kwamen ze weer terug. Mogelijk meende hij dat vernietigen bij nader inzien toch niet nodig was. Een en ander wordt bevestigd in het rapport van de Rijksrecherche.

admin

Deze reactie heb ik naar het artikel van de tub. gestuurd ben benieuwd of de gemeentelijke censureerder het accordeerd.

-----------------------------------------------------------------------------------------


citaat: "Daarvoor dient hij maandag een herzieningsverzoek in bij de Hoge Raad."

Ben een keer bij de hoge raad geweest bij een zaak van Paalman en de Roy de disidente rechercheurs oftewel die goeie klokkenluiders. Daar was een landsadvocate aan het woord die zei dat je de ramp moest vergelijken met Srebrenica en daarom moest de ramp en alle dossiers geheim blijven de hoge raad begreep dan wel het hoe en waarom.

De slachtoffers en gedupeerden maken geen schijn van kans tegen landsadvocaten en elke rechtbank en de hoge raad moet hun plezieren want dat zijn indirect hun werkgevers, kijk maar naar alle ambtenaren die fout zijn geweest die hebben vette promotie gemaakt en de ambtenaren die niet fout zijn geweest werken indirect  eraan mee dat deze doofpot in stand blijft door geen oordeel te hebben en niet aansprakelijk te zijn en door zich niet verantwoordelijk te voelen.

Bakker en zijn advocaten hebben tot dusver alle rechtzaken en beroepszaken verloren ik verwacht deze keer niets anders ook al zijn de lessen uit het verleden geen garantie voor de toekomst met de wetenschap van nu.

Vlak na de laatste knal wist Bakker nog wat er bij SEF detoneerde en dat was geen vuurwerk daarom noem ik de ramp sinds 13 mei 2000 munitieramp.

Door het gelieg en bedrieg van onze overheid krijgen de slachtoffers steeds weer een klap maar voor onze overheid vind de belangen groot genoeg om al bijna twaalf jaar de wet te overtreden en dat gaat nog tientallen jaren door want een doofpot moet zolang duren dat alle verantwoordelijke ambtenaren van ouderdom zijn overleden en dat duurt nog wel even.

admin

#22
Citaat van: sylvius op 14 februari 2012, 05:43:12
Citaat van: adminde meer dan 80.000 taps zijn vernietigd

Ze zijn niet vernietigd, alleen de opdracht daartoe was gegeven door de officier van justitie, maar de beheerder van de tapkamer weigerde de opdracht uit te voeren.


Onderstaande is hier van het forum geplukt P&D hadden het ook over vernietigde telefoontaps bij de hoge raad.
Bakker was er toen ook als bezoeker.
----------------------------------------------------------------


Paalman zei van tevoren dat hij van de zaak ging afdwalen en verwees naar een rapport van Interne zaken en over het vernietigen van tien optical discs met afgeluisterde gespreken dat is nog erger dan het RR rapport  daar zei de raads voorzitster dat dat dat een andere zaak een andere zaak is en een nieuwe procedure vereist.

https://enschederamp.nl/forum/index.php?topic=265.msg2729#msg2729

admin

#23
Citaat van: admin op 14 februari 2012, 06:13:35
Deze reactie heb ik naar het artikel van de tub. gestuurd ben benieuwd of de gemeentelijke censureerder het accordeerd.

-----------------------------------------------------------------------------------------


citaat: "Daarvoor dient hij maandag een herzieningsverzoek in bij de Hoge Raad."

Ben een keer bij de hoge raad geweest bij een zaak van Paalman en de Roy de disidente rechercheurs oftewel die goeie klokkenluiders. Daar was een landsadvocate aan het woord die zei dat je de ramp moest vergelijken met Srebrenica en daarom moest de ramp en alle dossiers geheim blijven de hoge raad begreep dan wel het hoe en waarom.

De slachtoffers en gedupeerden maken geen schijn van kans tegen landsadvocaten en elke rechtbank en de hoge raad moet hun plezieren want dat zijn indirect hun werkgevers, kijk maar naar alle ambtenaren die fout zijn geweest die hebben vette promotie gemaakt en de ambtenaren die niet fout zijn geweest werken indirect  eraan mee dat deze doofpot in stand blijft door geen oordeel te hebben en niet aansprakelijk te zijn en door zich niet verantwoordelijk te voelen.

Bakker en zijn advocaten hebben tot dusver alle rechtzaken en beroepszaken verloren ik verwacht deze keer niets anders ook al zijn de lessen uit het verleden geen garantie voor de toekomst met de wetenschap van nu.
Vlak na de laatste knal wist Bakker nog wat er bij SEF detoneerde en dat was geen vuurwerk daarom noem ik de ramp sinds 13 mei 2000 munitieramp.

Door het gelieg en bedrieg van onze overheid krijgen de slachtoffers steeds weer een klap maar voor onze overheid vind de belangen groot genoeg om al bijna twaalf jaar de wet te overtreden en dat gaat nog tientallen jaren door want een doofpot moet zolang duren dat alle verantwoordelijke ambtenaren van ouderdom zijn overleden en dat duurt nog wel even.


Heb net tien minuten met de censor van de tubantia gesproken en gevraagd waarom mijn reactie niet geplaatst wordt de censor kwakte na tien minuten de hoorn op de haak.
Heb hem gezegd dat ik mijn reactie in stukjes ging opsturen dus heb de bovenstaande  reactie gevierendeeld nu maar weer wachten of er iets geaccordeerd wordt.

admin

Citaat van: admin op 14 februari 2012, 09:40:18
Citaat van: admin op 14 februari 2012, 06:13:35
Heb hem gezegd dat ik mijn reactie in stukjes ging opsturen dus heb de bovenstaande  reactie gevierendeeld nu maar weer wachten of er iets geaccordeerd wordt.

Alle vier de ingezonden reactie's zijn nu wel geaccordeerd door de censor.
Daar ben ik de tub wel dankbaar voor ook al moest ik eerst hemel en aarde bewegen.

admin

Iemand heeft gereageerd op mijn reactie bij de tubantia daarop heb ik geantwoord.
----------------------------------------------------------------------------------------------------------------------

Het is een feitelijke schande als lieden zoals Harberink, CM, Telfort telkens weer een podium krijgen aangeboden om de hetze uit te voeren. De overheid maakt dankbaar gebruik van dit soort zide overheid die te pas en te onpas worden ingezet als de overheid met waarheid te maken krijgt.chzelf mensen noemende daar zij de werkelijke waarheid telkens maar weer uit het daglicht weten te houden. Tot aan VerEsal aan toe krijgen zei een podium om hun ongefundeerde onsamenhangende onzinnige verhalen aan de man te brengen zonder daarvoor 1 onderbouwing die feitelijk is. Het zegt overigens meer over VerEsal dan over dit soort lieden, de handlangers van overheid.
De Ko - 14-02-2012 | 12:40
---------------------------------

@De Ko.

U vergeet de hetze van de overheid ten opzichte van de onschuldige Andre de V. tot op de dag van vandaag. Ik lieg niet en voer ook geen hetze uit, uw laster slaat dus geenszins op mij. Maar ik neem u niets kwalijk de overheid heeft u al zoveel voorgelogen dat u de leugens met de waarheid verward. Ik heb ook een jaar of tien in sinterklaas geloofd vergissen is menselijk.

sylvius

cm=crimo
Telfort=poter
De Ko = RJB

admin

Citaat van: sylvius op 14 februari 2012, 14:34:15
cm=crimo
Telfort=poter
De Ko = RJB


Daar had ik ook aan gedacht maar heb geen bewijs en pas ik wel op dat ik niet de verkeerde kant op speculeer want fan betrekt men er mensen bij die part nog deel aan die schuilnamen hebben. Maar jij (Silvius) vermoed hetzelfde als ik alhoewel een bermoeden geen zekerheid biedt.

cm is hoofdwaarschijnlijk crimo.

Maar Telfort kan ook Jan T. zijn of iemand anders die iets meer weet zoals een klokkenluider.

De Ko kan ook een goedgelovige burger zijn maar ik vond het wel vreemd dat de Ko mij en Telfort over 1 kam scheerde met de liegende overheid en Crimo, ik dacht nog dat die de Ko een beetje verward was of uit de hoek van sef komt , maar als De Ko onze RJB is dan verklaard dat wel zijn vreemde reactie op de tubantia.

sylvius

#28
Peters op de radio:

http://nos.nl/audio/340357-om-had-niet-ontvankelijk-kunnen-worden-verklaard.html

Citeer 'OM had niet ontvankelijk kunnen worden verklaard'
AUDIO De rechtszaak naar de vuurwerkramp in Enschede moet over. Dat wil één van de oud-directeuren van SE Fireworks, Rudi Bakker. Zijn advocaat dient vandaag een herzieningsverzoek in bij de Hoge Raad. Volgens hem zijn er nieuwe feiten die er op wijzen dat Bakker geen eerlijk proces heeft gehad. John Peters, de advocaat van Bakker, is bij ons in de studio.

sylvius

Citaat van: sylvius op 12 februari 2012, 20:07:25
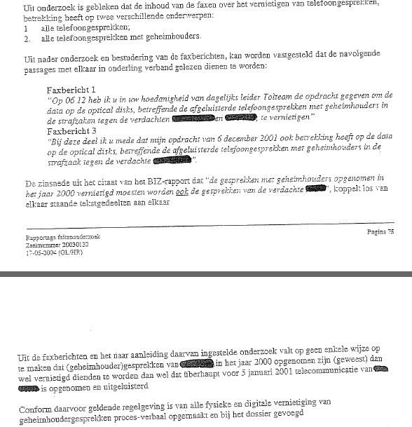
http://content1d.omroep.nl/37d99fa5a4a56a419376948eb74c4ebc/4f37fb84/nos/docs/120212_biz_november.pdf




Rijksrecherche focuste op afgeluisterde telefoongesprekken van André de Vries, die in het jaar 2000 nog niet zouden hebben plaatsgevonden:

http://www.rijksoverheid.nl/documenten-en-publicaties/kamerstukken/2007/06/28/openbaarmaking-stukken-mbt-rijksrecherche-onderzoek-naar-tolteam.html


Vorm van misleiding!

Want er waren wel andere telefoongesprekken afgeluisterd, waarvan de inhoud dus niet ter kennis is gekomen van de rechter.